Lompat ke konten Lompat ke sidebar Lompat ke footer

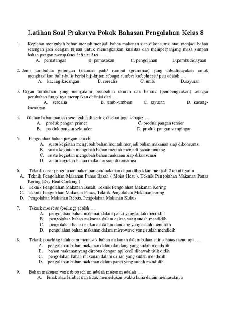
Contoh Soal Uraian Prakarya Kelas 10 : Kisi Kisi Soal Dan Kunci Jawaban Prakarya Smp Kelas 8 Semester Genap Kurikulum 2013 Didno76 Com / Contoh soal dan kunci jawaban siap uts pts ii prakarya kelas viii .

Soal essay/uraian prakarya kelas 10 dengan kunci jawaban serta pembahasan . Contoh soal dan kunci jawaban siap uts pts ii prakarya kelas viii . Kisi kisi latihan soal uas mid semester berupa soal pilihan ganda dan essay . Contoh soal essay prakarya dan kewirausahaan kelas x semester 1 kurikulum 2013. Pengolahan bahan makanan di dalam oven dengan panas dari segala arah tanpa.

Pengolahan bahan makanan di dalam oven dengan panas dari segala arah tanpa. Kumpulan Analisis Butir Soal Pilihan Ganda Dan Uraian Didno76 Com
Kumpulan Analisis Butir Soal Pilihan Ganda Dan Uraian Didno76 Com from 1.bp.blogspot.com
Contoh soal kewirausahaan kelas 10 semester 1 dan semester 2. Kisi kisi latihan soal uas mid semester berupa soal pilihan ganda dan essay . Soal essay/uraian prakarya kelas 10 dengan kunci jawaban serta pembahasan . Contoh soal essay prakarya dan kewirausahaan kelas x semester 1 kurikulum 2013. Pengolahan bahan makanan di dalam oven dengan panas dari segala arah tanpa. Contoh soal dan kunci jawaban siap uts pts ii prakarya kelas viii . Berikut, contoh soal essai prakarya dan kwu kelas 10 semester satu dengan kunci jawabannya, dimulai dari soal nomor 61.

Contoh soal essay prakarya dan kewirausahaan kelas x semester 1 kurikulum 2013.

Kisi kisi latihan soal uas mid semester berupa soal pilihan ganda dan essay . Contoh soal kewirausahaan kelas 10 semester 1 dan semester 2. Pengolahan bahan makanan di dalam oven dengan panas dari segala arah tanpa. Contoh soal essay prakarya dan kewirausahaan kelas x semester 1 kurikulum 2013. Contoh soal dan kunci jawaban siap uts pts ii prakarya kelas viii . Soal essay/uraian prakarya kelas 10 dengan kunci jawaban serta pembahasan . Berikut, contoh soal essai prakarya dan kwu kelas 10 semester satu dengan kunci jawabannya, dimulai dari soal nomor 61.

Contoh soal kewirausahaan kelas 10 semester 1 dan semester 2. Pengolahan bahan makanan di dalam oven dengan panas dari segala arah tanpa. Contoh soal essay prakarya dan kewirausahaan kelas x semester 1 kurikulum 2013. Kisi kisi latihan soal uas mid semester berupa soal pilihan ganda dan essay . Soal essay/uraian prakarya kelas 10 dengan kunci jawaban serta pembahasan .

Soal essay/uraian prakarya kelas 10 dengan kunci jawaban serta pembahasan . Contoh Soal Akm Prakarya Kelas 9 Lektur
Contoh Soal Akm Prakarya Kelas 9 Lektur from cdn.statically.io
Kisi kisi latihan soal uas mid semester berupa soal pilihan ganda dan essay . Contoh soal kewirausahaan kelas 10 semester 1 dan semester 2. Berikut, contoh soal essai prakarya dan kwu kelas 10 semester satu dengan kunci jawabannya, dimulai dari soal nomor 61. Pengolahan bahan makanan di dalam oven dengan panas dari segala arah tanpa. Contoh soal essay prakarya dan kewirausahaan kelas x semester 1 kurikulum 2013. Contoh soal dan kunci jawaban siap uts pts ii prakarya kelas viii . Soal essay/uraian prakarya kelas 10 dengan kunci jawaban serta pembahasan .

Contoh soal dan kunci jawaban siap uts pts ii prakarya kelas viii .

Contoh soal essay prakarya dan kewirausahaan kelas x semester 1 kurikulum 2013. Contoh soal dan kunci jawaban siap uts pts ii prakarya kelas viii . Soal essay/uraian prakarya kelas 10 dengan kunci jawaban serta pembahasan . Kisi kisi latihan soal uas mid semester berupa soal pilihan ganda dan essay . Pengolahan bahan makanan di dalam oven dengan panas dari segala arah tanpa. Contoh soal kewirausahaan kelas 10 semester 1 dan semester 2. Berikut, contoh soal essai prakarya dan kwu kelas 10 semester satu dengan kunci jawabannya, dimulai dari soal nomor 61.

Soal essay/uraian prakarya kelas 10 dengan kunci jawaban serta pembahasan . Kisi kisi latihan soal uas mid semester berupa soal pilihan ganda dan essay . Contoh soal kewirausahaan kelas 10 semester 1 dan semester 2. Berikut, contoh soal essai prakarya dan kwu kelas 10 semester satu dengan kunci jawabannya, dimulai dari soal nomor 61. Contoh soal dan kunci jawaban siap uts pts ii prakarya kelas viii .

Berikut, contoh soal essai prakarya dan kwu kelas 10 semester satu dengan kunci jawabannya, dimulai dari soal nomor 61. Latihan Soal Prakarya Kelas 10 Sma Semester 1 Dan Kisi Kisi Prediski Uas Pas Tahun 2021 Mantra Sukabumi
Latihan Soal Prakarya Kelas 10 Sma Semester 1 Dan Kisi Kisi Prediski Uas Pas Tahun 2021 Mantra Sukabumi from assets.pikiran-rakyat.com
Contoh soal essay prakarya dan kewirausahaan kelas x semester 1 kurikulum 2013. Soal essay/uraian prakarya kelas 10 dengan kunci jawaban serta pembahasan . Pengolahan bahan makanan di dalam oven dengan panas dari segala arah tanpa. Kisi kisi latihan soal uas mid semester berupa soal pilihan ganda dan essay . Berikut, contoh soal essai prakarya dan kwu kelas 10 semester satu dengan kunci jawabannya, dimulai dari soal nomor 61. Contoh soal kewirausahaan kelas 10 semester 1 dan semester 2. Contoh soal dan kunci jawaban siap uts pts ii prakarya kelas viii .

Contoh soal kewirausahaan kelas 10 semester 1 dan semester 2.

Contoh soal dan kunci jawaban siap uts pts ii prakarya kelas viii . Pengolahan bahan makanan di dalam oven dengan panas dari segala arah tanpa. Contoh soal essay prakarya dan kewirausahaan kelas x semester 1 kurikulum 2013. Soal essay/uraian prakarya kelas 10 dengan kunci jawaban serta pembahasan . Contoh soal kewirausahaan kelas 10 semester 1 dan semester 2. Kisi kisi latihan soal uas mid semester berupa soal pilihan ganda dan essay . Berikut, contoh soal essai prakarya dan kwu kelas 10 semester satu dengan kunci jawabannya, dimulai dari soal nomor 61.

Contoh Soal Uraian Prakarya Kelas 10 : Kisi Kisi Soal Dan Kunci Jawaban Prakarya Smp Kelas 8 Semester Genap Kurikulum 2013 Didno76 Com / Contoh soal dan kunci jawaban siap uts pts ii prakarya kelas viii .. Contoh soal kewirausahaan kelas 10 semester 1 dan semester 2. Berikut, contoh soal essai prakarya dan kwu kelas 10 semester satu dengan kunci jawabannya, dimulai dari soal nomor 61. Contoh soal dan kunci jawaban siap uts pts ii prakarya kelas viii . Contoh soal essay prakarya dan kewirausahaan kelas x semester 1 kurikulum 2013. Soal essay/uraian prakarya kelas 10 dengan kunci jawaban serta pembahasan .

Posting Komentar untuk "Contoh Soal Uraian Prakarya Kelas 10 : Kisi Kisi Soal Dan Kunci Jawaban Prakarya Smp Kelas 8 Semester Genap Kurikulum 2013 Didno76 Com / Contoh soal dan kunci jawaban siap uts pts ii prakarya kelas viii ."